Mandler 35 mm f/2 fa rivivere il classico obiettivo Leica e offre un corpo in metallo di 138 grammi a un prezzo contenuto

Il Leica Summicron-M 35 mm f/2 Tipo 4, noto anche come il "Re del Bokeh", si vende ancora a oltre 1.000 dollari usato, e in buone condizioni alcuni rivenditori chiedono oltre 2.000 dollari per l'obiettivo prodotto da Leica tra il 1979 e il 1996.
I nostri Top 10
» Top 10 Portatili Multimedia
» Top 10 Portatili Gaming
» Top 10 Portatili Gaming Leggeri
» Top 10 Portatili da Ufficio e Business economici
» Top 10 Portatili Premium da Ufficio/Business
» Top 10 Portatili sotto i 300 Euro
» Top 10 Portatili sotto i 500 Euro
» Top 10 dei Portatili Workstation
» Top 10 Subnotebooks
» Top 10 Ultrabooks
» Top 10 Convertibili
» Top 10 Tablets
» Top 10 Tablets Windows
» Top 10 Smartphones
L'obiettivo progettato dall'ingegnere ottico di Leica Walter Mandler ha ancora un seguito grazie all'aspetto insolito che produce. Un'azienda cinese ha ora copiato l'obiettivo e, dal design dell'alloggiamento alla struttura ottica, questa nuova versione sembra essere molto vicina all'originale, tranne per il fatto che la replica viene offerta a un prezzo molto più basso. Nonostante il prezzo più basso, l'alloggiamento è realizzato in alluminio. L'obiettivo è lungo solo circa 1,3 pollici e pesa 4,9 once; è disponibile anche una versione in ottone che pesa 7,4 once.
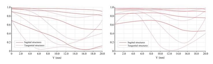
Il design di sette elementi in cinque gruppi è stato leggermente aggiornato per offrire una migliore qualità d'immagine in abbinamento ai sensori digitali. Tuttavia, come mostrano le curve MTF del produttore, l'obiettivo, come l'originale, ha una curvatura di campo pronunciata, quindi il centro dell'immagine e gli angoli sono resi più nitidi rispetto all'area intermedia. Anche al centro, l'obiettivo non è particolarmente nitido quando viene utilizzato a bocca aperta.
Prezzo e disponibilità
L'obiettivo Mandler 35 mm f/2.0 "7 Elements" full-frame è disponibile da subito presso il negozio online del produttore https://mandler.shop/products/mandler-35mm-f2-7-elements-aluminum#product-descriptioncon attacco Leica M per 348 dollari o con attacco a vite LTM per 378 dollari. La versione argentata costa 30 dollari in più, e sono disponibili anche pacchetti di accessori che includono un paraluce con un costo aggiuntivo. La versione Leica M è attualmente esaurita, ma si prevede che sarà nuovamente disponibile a marzo. La spedizione dalla Cina è gratuita, ma i prezzi non includono le potenziali tasse di importazione.

















